问题
-
根据下图,回答下列问题: 下图反映的是美国高中毕业生参加SAT (Scholastic Aptitude Test,学习能
-
共用题干根据下图回答问题。{图}{图1}
-
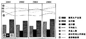
(三)根据下图 回答18—19题: 下图给出了某国在2001-2004年间的国民生产总值 进出口额 平均收入
-
中国的快速发展改变了世界经济发展格局 同时中国经济地域结构也发生了深刻变化。结合下图 分析回答下列问题。
-
根据下图回答下列问题。赵钱孙李周五位先生长途出行的方式都是乘坐汽车 火车或飞机 大致情况如下:
-
案例三 下图是市政管道工程施工图的一部分 根据题目回答下列问题: 管道施工平面图中 以粗黑线表
.jpg)
冀公网安备 13070302000102号