问题
-
下列说法正确的是:A.2002年到2007年,网民人数翻了两番B.从2003年年开始,网民规模年增长率开始持
-
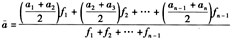
根据所给资料,计算2002-2007年国内生产总值平均发展速度的最直接的公式是()。A.B.C.D.
-
计算公式(观察期间因某病死亡人数 / 同期平均人口数 * 100%)测量的是哪一个常用效果指标?()
-
工资水平的基本计算公式是工资水平=劳动者工资总额/劳动者平均人数。()
-
一段时间内的交易笔数/柜员人数是()的计算公式。 A.柜员平均工作量B.交易结果和财
-
根据以上资料对该地区2002年经济增长进行因素分析(以年末从业人数代替平均人数计算劳动
2.jpg)
3.jpg)
4.jpg)
5.jpg)
冀公网安备 13070302000102号