当前位置: 答题翼 > 问答 > 财会类考试 > 正文
目录: 标题| 题干| 答案| 搜索| 相关
问题

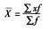
根据上述资料,计算样本平均数,应采用的公式为()。A.B.C.D.E.[*]


根据上述资料,计算样本平均数,应采用的公式为()。

A.

B.

C.

D.

E.[*]

参考答案
您可能感兴趣的试题
  • 根据上述资料,计算样本平均数,公式正确的选项是()。A.B.C.D.

  • 根据上述资料,计算样本平均数和样本成数的抽样平均误差,公式正确的选项是()。A.B.C.D.

  • 某企业甲、乙两组工人人数和工资资料如下:请根据上述资料计算分析该企业总平均工资的变化情况,逐

  • 已知某公司下属20个企业职工的分组资料 如表4-2所示。 根据上述资料计算该公司职工的平均工资步

  • 主要用于样本含量n≤30以下 未经分组资料平均数的计算的是( )。A.加总法B.几何法C.加权法D.直接法

  • 对于大样本资料 计算总体均数的99%可信区间时t值的取值是