当前位置: 答题翼 > 问答 > 建筑工程类考试 > 正文
目录: 标题| 题干| 答案| 搜索| 相关
问题

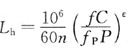
滚动轴承额定寿命与额定动载荷之间的关系为,其中C是轴承的()。A.径向载荷B.当量载荷C.当量动载荷D


滚动轴承额定寿命与额定动载荷之间的关系为,其中C是轴承的()。

A.径向载荷

B.当量载荷

C.当量动载荷

D.基本额定动载荷

请帮忙给出正确答案和分析,谢谢!

参考答案
您可能感兴趣的试题
  • 按额定动载荷计算选用的滚动轴承,在预定使用期限内,其破坏率最大为90%。()

  • 按额定动载荷计算选用的滚动轴承,在预定使用期限内,其工作可靠度为()。A.50%B.90%C.95%D.99%

  • 按额定动载荷计算选用的滚动轴承,在预定使用期限内,其破坏率最大为()。A.50%B.10%C.90%D.20%

  • 滚动轴承的额定寿命是指()。A.在额定动荷载作用下 轴承所能达到的寿命B.在额定工况和额定动荷载作

  • 按额定动载荷通过计算选用的滚动轴承 在预定使用期限内 其工作可靠度为()。A 50%B 90%C 95%D 99

  • 滚动轴承额定动载荷