当前位置: 答题翼 > 问答 > 建筑工程类考试 > 正文
目录: 标题| 题干| 答案| 搜索| 相关
问题

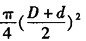
图示两板用圆锥销钉连接 圆锥销钉的受剪面积为( )。A.B.C.D.


图示两板用圆锥销钉连接,圆锥销钉的受剪面积为()。

A.

B.

C.

D.

请帮忙给出正确答案和分析,谢谢!

参考答案
您可能感兴趣的试题
  • 墙板销钉安装标准是()。A、每两个孔打一颗销钉B、每3个孔打两个孔C、满打销钉D、每4个孔打三个销钉

  • 固定支座的上下座板用()固定。A.销钉B.螺栓C.板套D.电焊

  • 构架ABC由三杆AB AC和DF组成 杆DF上的销钉E插在杆AC的槽内 载荷P如图 (A) 所示 则销钉E所受的力

  • 同一批产品所用料管 封塞(销钉)规格要一致。()

  • 装配组件时利用连接面板可指定适当的连接方式 如刚性 销钉等 其作用是限定零件的自由度和相对运动关系 以便进行机构运动分析。

  • 套筒通常开有纵向滑槽 滑槽宽度一般比销钉直径大()