当前位置: 答题翼 > 问答 > 建筑工程类考试 > 正文
目录: 标题| 题干| 答案| 搜索| 相关
问题

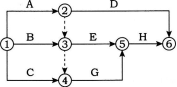
某双代号网络图如下图所示 互为平行工作的有( )。 A.工作A和工作CB.工作D和工作EC.工作A和工作GD


某双代号网络图如下图所示,互为平行工作的有()。

A、工作A和工作C

B、工作D和工作E

C、工作A和工作G

D、工作B和工作G

E、工作E和工作G

参考答案
您可能感兴趣的试题
  • 某施工单位编制的某双代号网络计划如下图所示。

  • 某双代号网络图如下图所示 存在的错误是()。

  • 某双代号网络图如下图所示 正确的是()。

  • 某双代号网络计划如下图所示 其中关键线路有( )条。

  • 某双代号网络计划如下图所示 其关键线路有()条。

  • 某双代号网络图如下图所示 存在的错误是( )。