当前位置: 答题翼 > 问答 > 职业资格考试 > 正文
目录: 标题| 题干| 答案| 搜索| 相关
问题

下列关于率的标准误的叙述 错误的是A.样本率的标准差称率的标准误B.率的标准误反映率的


下列关于率的标准误的叙述,错误的是

A.样本率的标准差称率的标准误

B.率的标准误反映率的抽样误差:大小

C.率的标准误越小,用样本率估计总体率的可靠性越大

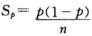
D.率的标准误的计算公式为

E.适当增大样本含量可减少率的标准误

请帮忙给出正确答案和分析,谢谢!

参考答案
您可能感兴趣的试题
  • 关于率的标准化叙述中错误的是A、标准化率也称调整率B、率的标准化是采用统一的标准进行计算C、率的

  • 下列关于药物从体内消除的叙述错 误的是A.消除速度常数等于各代谢和排泄过程的速度常数之和B.消除速

  • 下列关于DNA双螺旋模型的叙述 错 误的是 A.是DNA的二级结构B.双股链相互平行 走向相反C.

  • 关于率的标准化叙述中错误的是

  • 下列关于均数的标准误的叙述 错误的是A.是样本均数的标准差 B.反映样本均数抽样误差大小

  • 下面有关标准误的叙述中正确的是()