当前位置: 答题翼 > 问答 > 大学专科 > 正文
目录: 标题| 题干| 答案| 搜索| 相关
问题

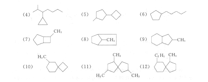
命名下列各化合物:


命名下列各化合物:

请帮忙给出正确答案和分析,谢谢!

参考答案
您可能感兴趣的试题
  • 按系统命名法 下列有机化合物命名正确的是:A. 2-乙基丁烷 B. 2 2-二甲基丁烷C. 3 3

  • 下列各化合物的命名中正确的是( )

  • 用系统命名法命名下列化合物

  • 写出下列各化合物的结构式 假如某个名称违反系统命名原则 予以更正。 3 3 -二甲基丁烷()

  • 命名下列化合物.

  • 命名下列化合物。