当前位置: 答题翼 > 问答 > 职业技能鉴定 > 正文
目录: 标题| 题干| 答案| 搜索| 相关
问题

石灰乳的主要成分


石灰乳的主要成分

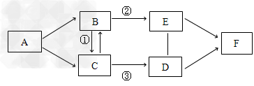
A、B、C、D、E、F都是初中化学常见的物质,其中B是一种支持燃烧的气体,D是石灰乳的主要成分,F是一种难溶性的白色固体。它们之间的关系如下图所示(图中“—”表示两端的物质能发生化学反应;“→”表示物质间存在转化关系)。 试推断:

(1)物质F的化学式为__________。

(2)写出A分解生成B和C的化学方程式:____________。

(3)若已知①、②、③的有关反应的基本类型都相同。你认为③的反应化学方程式为:____________ ,其反应的基本类型为_______________。

参考答案
您可能感兴趣的试题
  • 石灰的主要成分是Ca(OH)2,大自然中没有天然的石灰资源。

  • 传统的白色粉笔,其主要成分是:A.石灰石 B.石膏 C.生石灰 D.熟石灰

  • 人乳的免疫成分主要包括:()、()、()、()等。

  • 石灰的主要原料是石灰岩 其主要成分是( )。

  • 活性()为石灰的主要成分 是石灰粘结力的主要来源。A.CaOB.CaCO3

  • 熟石灰是由生石灰消解而成 其主要成分是()。