当前位置: 答题翼 > 问答 > 大学本科 > 正文
目录: 标题| 题干| 答案| 搜索| 相关
问题

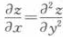
是常微分方程。().


是常微分方程。().此题为判断题(对,错)。请帮忙给出正确答案和分析,谢谢!

参考答案
您可能感兴趣的试题
  • 内脏痛的定位特点是常不明确。()

  • 假肥大型肌营养不良是常染色体隐性遗传。()

  • 在回归方程Y=a+bx中A.a是直线的斜率,b是直线的截距B.a是常数值,b是变量C.a是回归系数,b为0~1之间

  • 什么是常模参照测验和标准参照测验?比较其异同。

  • 颌面部硬组织损伤独具的特点是常伴有

  • 哪项是常染色体显性遗传的特征