当前位置: 答题翼 > 问答 > 继续教育 > 正文
目录: 标题| 题干| 答案| 搜索| 相关
问题

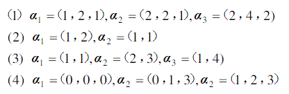
在下列四个向量组中线性无关的向量组有()。


在下列四个向量组中线性无关的向量组有()。

A.一个

B.两个

C.三个

D.四个

请帮忙给出正确答案和分析,谢谢!

参考答案
您可能感兴趣的试题
  • 已知向量组α1 α2 α3 α4线性无关 则下列向量组中线性无关的是 (A)α1+α2 α2+α3

  • 设向量组α1 α2 α3线性无关 则下列向量组中线性无关的是 ( )

  • 下列向量组中线性无关的是( )。

  • 设向量组α1 α2 α3线性无关 则下列向量组中线性无关的是().A.α1+α2 α2+α3 α3-α1B.α1+α2 α2+α3 α1+

  • 下列向量组中 线性无关的是( ).

  • 设向量组a1 a2 a3线性无关 则下列向量组中线性无关的是()。