问题
-
试题12有以下程序#include <stdio.h>main(){ int c[3]={0}, k, i;while((k=getchar())!=’" />
以下4个选项中,不能看作一条语句的是()A.{;}B.a=0,b=0,c=0;C.if(a>0);D.if(b==0) m=1;n=2;
有以下程序:void main(){ int a=1,b=2,m=0,n=0,k; k=((n=b>a)+b)‖(m=a<b); printf("%d,%d" />
与“y=(x>0?1:x<0?1:0)”;的功能相同的if 语句是( )。A.if(x>0)y=1; else if(x<0)y=1;
以下4个选项中 不能看作一条语句的是( )A.{;}B.a=0 b=0 c=0;C.if(a>0);D.if(b==0) m=1;n=2;
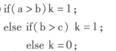
以下程序段中与语句k=a>b?(b>c?1:0):0;功能等价的是______。A.if(a>b) &&(b>c) )k=1;else
B.
C.
D. 
冀公网安备 13070302000102号