问题
-
以下程序的功能是输出a数组中所有字符串,请填空。#include <stdio.h>main() { char *a[ ]=
-
以下程序的功能是将字符串s中的数字字符放入d数组中,最后输出d中的字符串。例如,输入字符串:abc12
-
(8)以下程序的功能是:先将随机产生的10个不同的整数放入数组a中 再将这10个数按升序方式输出。请
-
若有以下说明:chars1[]={ ree} s2[]={flower}; 则以下对数组元素或数组的输出语句中 正确的
-
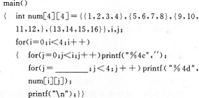
有以下程序: 若要按以下形式输出数组右上半三角: 则在程序下划线处应填人的语句是( )。 A.i-
-
以下程序的功能是 产生10个0~1000之间的随机整数 放入数组Arr中 然后输出其中的最大值。请填空。Op


冀公网安备 13070302000102号