当前位置: 答题翼 > 问答 > 大学本科 > 正文
目录: 标题| 题干| 答案| 搜索| 相关
问题

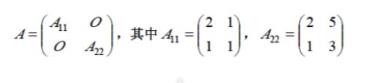
求下列分块矩阵的逆矩阵.


求下列分块矩阵的逆矩阵.

参考答案
您可能感兴趣的试题
  • 设方阵A满足A2一A一2E=O 证明A及A+2E都可逆 并求它们的逆矩阵

  • 试利用矩阵的初等变换求下列方阵的逆矩阵:

  • 设A为3×3矩阵 |A|=-2 把A按列分块为A=(A1 A2 A3) 其中Aj(j=1 2 3)为A的第j列.求:

  • 已知矩阵的逆矩阵 求矩阵的特征值.

  • 已知3阶矩阵A的逆矩阵为 试求伴随矩阵A*的逆矩阵.

  • 求下列矩阵的逆矩阵: