当前位置: 答题翼 > 问答 > 大学专科 > 正文
目录: 标题| 题干| 答案| 搜索| 相关
问题

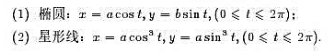
计算下列曲线所围区域的面积:


计算下列曲线所围区域的面积:

请帮忙给出正确答案和分析,谢谢!

参考答案
您可能感兴趣的试题
  • 假设曲线l1:y=1-x2(0≤x≤1)与x轴,y轴所围成区域被曲线l2:y=ax2分为面积相等的两部分,其中a是大于

  • 设D是曲线y=x2与y=1 所围闭区域

  • 设D是曲线y=x2与y=1 所围闭区域

  • 设D是曲线y=x2与y=1 所围闭区域

  • 设D是曲线y=x2 与y=1所围闭区域

  • 求曲线所围面积y2=x2(a2-x2)