当前位置: 答题翼 > 问答 > 职业资格考试 > 正文
目录: 标题| 题干| 答案| 搜索| 相关
问题

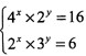
指数方程组的解()。A.有一组B.有两组C.有无穷多组D.不存在


指数方程组的解()。

A.有一组

B.有两组

C.有无穷多组

D.不存在

参考答案
您可能感兴趣的试题
  • 任何一个控制系统都有两组状态变量,一组是可控的,一组是不可控的。()

  • 设αij(i,j=1,2,…,n)为一组数,满足 ∑i,j=1n|αij-δij|<1, 其中 那么线性方程组 Ax=b 有惟一的解,其中

  • 一般显示器有两组引线,一组是电源线,一组是信号线。

  • 在野外某花岗岩岩体中见有一种矿物 颜色为肉红色 形状为柱状 呈玻璃光泽 条痕为白色 且有两组正交的

  • 设n阶矩阵A的伴随矩阵A*≠0 若ξ1 ξ2 ξ3 ξ4是非齐次线性方程组Ax=b的互不相等的解 则对应的齐次线

  • 设B是3阶非零矩阵 已知B的每一列都是方程组的解 则t等于( )。A.0B.2C.-1###